首页
>
市政府工作部门
>
市人力资源和社会保障局
>
政策文件
索 引 号:43060007/2022-1905593
发布机构:市人社局
公开范围:全部公开
生成日期:2022-01-21
公开日期:2022-01-21
公开方式:政府网站
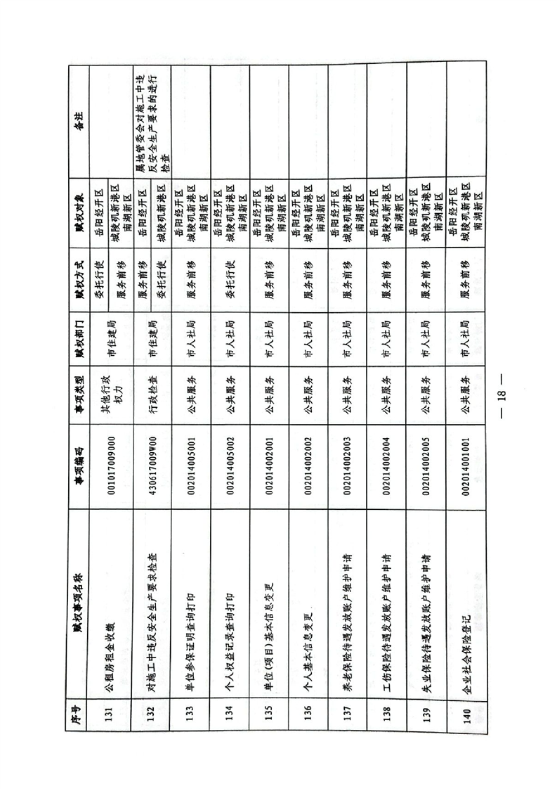
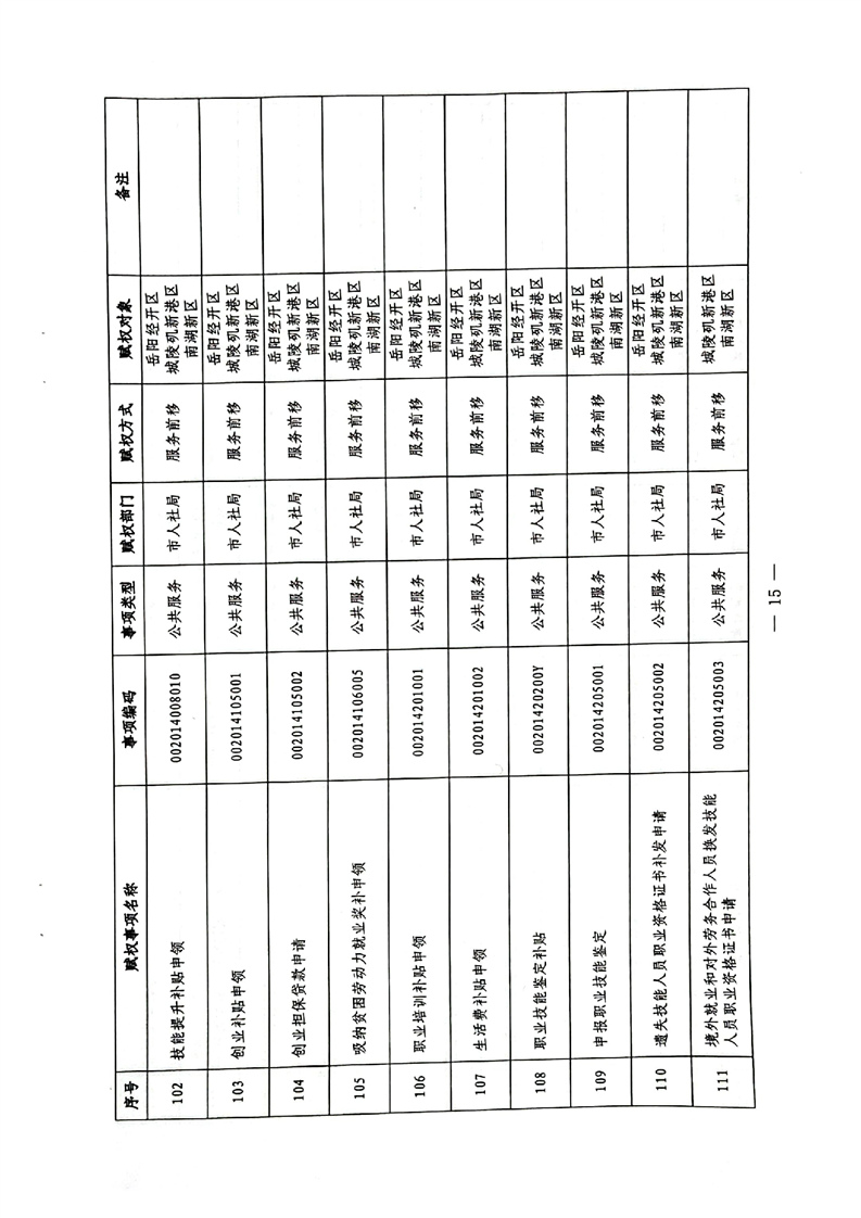
关于赋予岳阳经开区、城陵矶新港区、南湖新区和湘江新区湘阴新院区部分市级管理权限的通知
来源:岳阳市人社局
2022-01-21 10:11
浏览量:
1
|
|
|
|
|